Menu
×
   ❮     
HTML CSS JAVASCRIPT SQL PYTHON JAVA PHP HOW TO W3.CSS C C++ C# BOOTSTRAP REACT MYSQL JQUERY EXCEL XML DJANGO NUMPY PANDAS NODEJS DSA TYPESCRIPT ANGULAR ANGULARJS GIT POSTGRESQL MONGODB ASP AI R GO KOTLIN SASS VUE GEN AI SCIPY CYBERSECURITY DATA SCIENCE INTRO TO PROGRAMMING BASH RUST

Data Science - Plotting Linear Functions


The Sports Watch Data Set

Take a look at our health data set:

Duration Average_Pulse Max_Pulse Calorie_Burnage Hours_Work Hours_Sleep
30 80 120 240 10 7
30 85 120 250 10 7
45 90 130 260 8 7
45 95 130 270 8 7
45 100 140 280 0 7
60 105 140 290 7 8
60 110 145 300 7 8
60 115 145 310 8 8
75 120 150 320 0 8
75 125 150 330 8 8

Plot the Existing Data in Python

Now, we can first plot the values of Average_Pulse against Calorie_Burnage using the matplotlib library.

The plot() function is used to make a 2D hexagonal binning plot of points x,y:

Example

import matplotlib.pyplot as plt

health_data.plot(x ='Average_Pulse', y='Calorie_Burnage', kind='line'),
plt.ylim(ymin=0)
plt.xlim(xmin=0)

plt.show()
Try it Yourself »

Example Explained

  • Import the pyplot module of the matplotlib library
  • Plot the data from Average_Pulse against Calorie_Burnage
  • kind='line' tells us which type of plot we want. Here, we want to have a straight line
  • plt.ylim() and plt.xlim() tells us what value we want the axis to start on. Here, we want the axis to begin from zero
  • plt.show() shows us the output

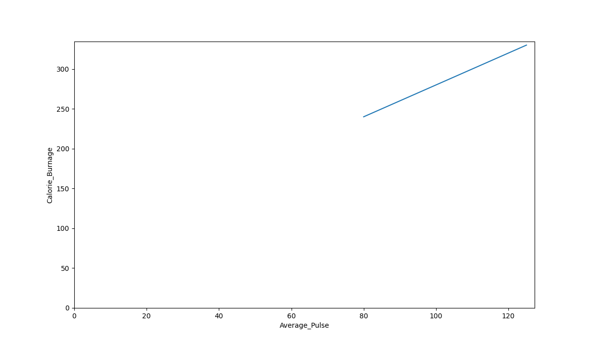
The code above will produce the following result:

Linear function

The Graph Output

As we can see, there is a relationship between Average_Pulse and Calorie_Burnage. Calorie_Burnage increases proportionally with Average_Pulse. It means that we can use Average_Pulse to predict Calorie_Burnage.



Why is The Line Not Fully Drawn Down to The y-axis?

The reason is that we do not have observations where Average_Pulse or Calorie_Burnage are equal to zero. 80 is the first observation of Average_Pulse and 240 is the first observation of Calorie_Burnage.

Linear function

Look at the line. What happens to calorie burnage if average pulse increases from 80 to 90?

Linear function

We can use the diagonal line to find the mathematical function to predict calorie burnage.

As it turns out:

  • If the average pulse is 80, the calorie burnage is 240
  • If the average pulse is 90, the calorie burnage is 260
  • If the average pulse is 100, the calorie burnage is 280

There is a pattern. If average pulse increases by 10, the calorie burnage increases by 20.


×

Contact Sales

If you want to use W3Schools services as an educational institution, team or enterprise, send us an e-mail:
sales@w3schools.com

Report Error

If you want to report an error, or if you want to make a suggestion, send us an e-mail:
help@w3schools.com

W3Schools is optimized for learning and training. Examples might be simplified to improve reading and learning. Tutorials, references, and examples are constantly reviewed to avoid errors, but we cannot warrant full correctness of all content. While using W3Schools, you agree to have read and accepted our terms of use, cookie and privacy policy.

Copyright 1999-2025 by Refsnes Data. All Rights Reserved. W3Schools is Powered by W3.CSS.